About CMUH

News and Award

:::
2025/2/17

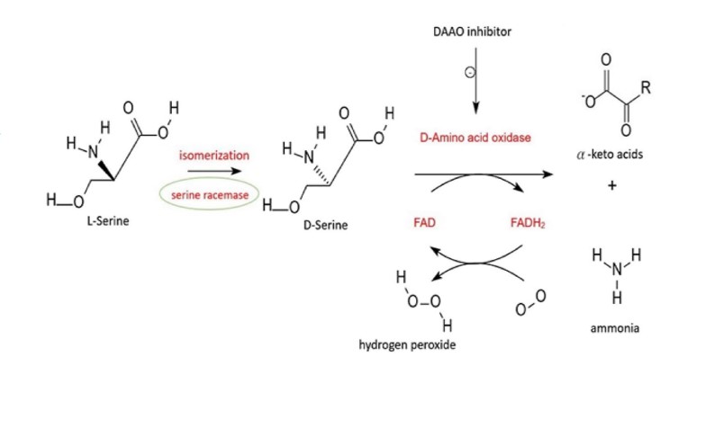
Effects of Sodium Benzoate, a D-Amino Acid Oxidase Inhibitor, on Perceived Stress and Cognitive Function Among Patients With Late-Life Depression: A Randomized, Double-Blind, Sertraline- and Placebo-Controlled Trial

Effects of Sodium Benzoate, a D-Amino Acid Oxidase Inhibitor, on Perceived Stress and Cognitive Function Among Patients With Late-Life Depression: A Randomized, Double-Blind, Sertraline- and Placebo-Controlled Trial

Authors: Chieh-Hsin Lin, Shi-Heng Wang, Hsien-Yuan Lane

Journal: Int J Neuropsychopharmacol

Publication Date: 2022

Image Source: Int J Neuropsychopharmacol

Link: https://pubmed.ncbi.nlm.nih.gov/35023557/

Related Articles

Stay connected with CMUH
How to get to CMUH the map of hospital